Description
Synonyms: Polyethylene glycol sorbitan monolaurate, Polyoxyethylenesorbitan monolaurate
General description
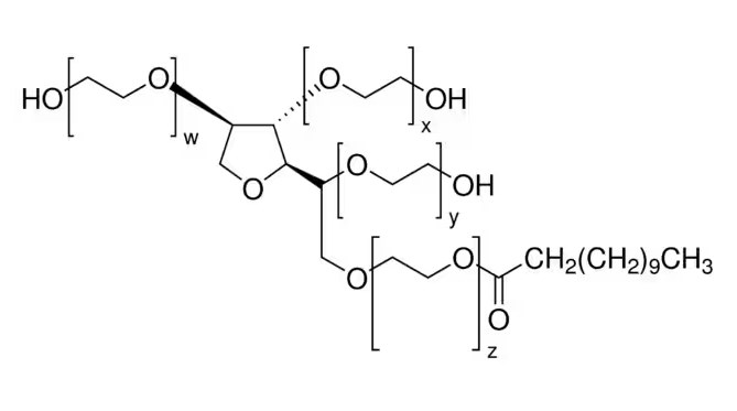
Tween®20 is a polyoxyethylene sorbitol ester that belongs to the polysorbate family. It is a nonionic detergent having a molecular weight of 1,225 daltons, assuming 20 ethylene oxide units, 1 sorbitol, and 1 lauric acid as the primary fatty acid. The ethylene oxide subunits are responsible for the hydrophilic nature of the surfactant, while the hydrocarbon chains provide the hydrophobic environment. Sorbitol forms the backbone ring to which the ethylene oxide polymers are attached.
Application
TWEEN 20 has been used as a component of:
- washing buffer and blocking buffer in Western blotting
- blocking buffer in immunohistochemistry
- washing buffer in ELISA (enzyme linked immunosorbent assay)
- reaction mixture in PCR (polymerase chain reaction)
TWEEN 20 is a nonionic detergent widely used in biochemical applications. It has been used as an emulsifying agent for the preparation of stable oil-in-water emulsions. TWEEN 20 has been used in pre-extraction of membranes to remove peripheral proteins (used at 2% for extraction of membrane-bound proteins).
TWEEN 20 has been used as a blocking agent for membrane based immunoassays at a typical concentration of 0.05%. TWEEN 20 can be used for lysing mammalian cells at a concentration of 0.005 to 0.5%.
TWEEN 20 has been used as a blocking agent for membrane based immunoassays at a typical concentration of 0.05%. TWEEN 20 can be used for lysing mammalian cells at a concentration of 0.005 to 0.5%.
Non-ionic detergent
Preparation Note
TWEEN 20 is miscible in water (100mg/mL), yielding a clear, yellow solution. It is also miscible with alcohol, dioxane, and ethyl acetate. TWEEN 20 is insoluble in liquid paraffin and fixed oils.
PROPERTIES
description
non-ionic
Assay
≥40.0% (GC)
form
viscous liquid
mol wt
~1228
composition
lauric acid, ≥40% (balance primarily myristic, palmitic, and stearic acids)
technique(s)
DNA extraction: suitable
RNA extraction: suitable
cell culture | mammalian: suitable
protein purification: suitable
impurities
≤3.0% water
refractive index
n20/D 1.468 (lit.)
CMC
0.06 mM (20-25°C)
acid number
≤2.2 mg/g
hydroxyl value
96‑108 mg/g
transition temp
cloud point 76 °C
density
1.095 g/mL at 25 °C (lit.)
HLB
16.7
suitability
complies for IR spectroscopy





Reviews
There are no reviews yet.